湖南省砂石协会欢迎您!   今天是:

首页 > 行业资讯 > 行业新闻行业新闻

12亿起拍的储量5000万方砂石矿,生产机制砂比例不低于20%!

发布日期:2021-11-01 01:21:52   点击量:1   标签:行业新闻

近日,海南省屯昌县出让储量5281.23万立方米建筑用花岗岩采矿权,起始价12亿。该矿区储量规模为大型,设计年产量为225万立方米,生产机制砂比例不低于开采资源总量的20%,将向周边市县供应石料机制砂。该采矿权出让探索“净矿”模式出让


近来,我国各地砂石矿出让陆续出现新的特别要求,需要相关投标企业高度重视。

屯昌县中建农场大月岭矿区东矿段建筑用花岗岩矿挂牌出让公告
(公告文号:矿挂【2021】1)

经屯昌县人民政府批准,屯昌县自然资源和规划局决定以(挂牌)方式出让屯昌县中建农场大月岭矿区东矿段建筑用花岗岩矿。本次挂牌出让由屯昌县自然资源和规划局委托海南省土地储备整理交易中心(海南省矿业权交易中心)具体承办。现将有关事项公告如下:

一、出让人
名称:屯昌县自然资源和规划局
场所:海南省屯昌县兴业二横路

二、矿业权交易平台
名称:海南省公共资源交易服务中心
场所:海南省海口市国兴大道9号会展楼

三、出让采矿权基本情况
项目名称:屯昌县中建农场大月岭矿区东矿段建筑用花岗岩矿
开采矿种:建筑用花岗岩
地理位置:屯昌县中建农场大月岭
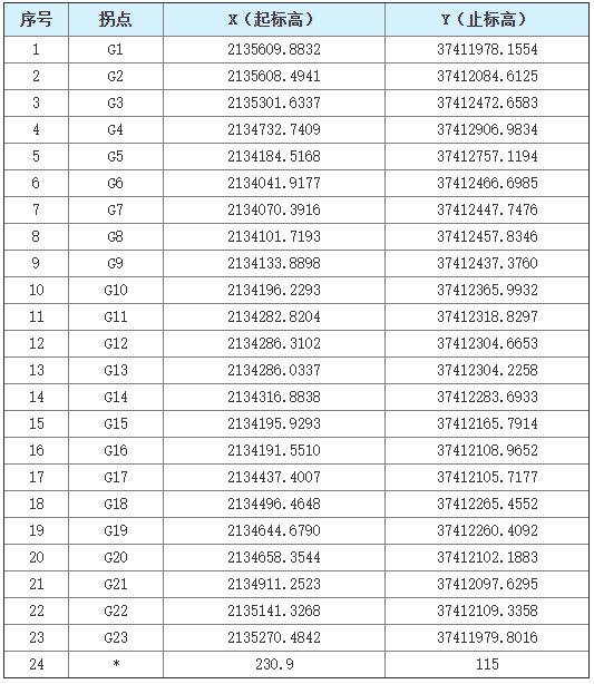
面积:0.8163平方千米,拐点坐标如下(2000国家大地坐标):

资源储量:探明资源储量5281.23万立方米,可用资源储量4515.45万立方米。
开采标高:230.9米至115米
资源开发利用情况:竞得人实施开采前必须设定优化《矿产资源开发利用与保护方案》,首采地段必须选定从老矿口开始推进,科学合理安排矿产资源开发利用,同时须采取全封闭式生产,有效保护生态环境。采矿权竞得人在实施开采前必须按照国家绿色矿山建设标准制定《绿色矿山建设方案》,并在开采过程中严格按照《绿色矿山建设方案》实施,接受主管部门的监督。竞得人应将矿区覆盖层剥离物设计用于矿区复垦,不得擅自销售。

矿山地质环境保护及土地复垦要求:根据“谁开采,谁治理”的原则,结合屯昌县的实际情况,竞得人应按制定的《矿产资源开发利用与保护方案》进行具体实施。与出让人签订《矿山地质环境保护与治理恢复协议书》,按约定在银行设立矿山环境治理恢复基金账户,并足额预存治理恢复基金。竞得人必须边开采边恢复,负责采矿区、生产生活区的生态环境保护工作,并按照《矿产资源开发利用与保护方案》设计的时间节点完成土地复垦及矿山恢复治理工作。

拟出让年限:20年
起始价:120000万元

四、投标人/竞买人的资质条件
(一)竞买申请人须为屯昌县境内具有独立法人资格的企业,屯昌县以外的企业如需参与竞买,需先行在屯昌县内注册成立相关企业,只能单独申请参加竞买,不接受联合竞买申请。

(二)未被列入全国矿业权人勘查开采信息公示系统异常名录或严重违法名单(在全国矿业权人勘查开采信息公示系统查询)。

(三)未被列入失信被执行人名单(在信用中国网站查询)。

(四)须按要求提交《挂牌出让竞买申请书》(样本见本《挂牌出让手册》第二章“竞买申请文件格式”)。

(五)须按要求提交竞买申请文件及交纳竞买保证金。

(六)遵守采矿权出让相关法律法规。

五、出让方式及交易的时间、地点
出让方式:挂牌
挂牌时间:2021年11月25日—2021年12月09日
地点:
(一)本次交易活动挂牌报价竞价环节采取线下方式进行,获得竞买资格的竞买人应持在线下载打印的《竞买资格确认书》到指定地点参与报价竞价活动。挂牌报价阶段仅接受书面报价,不接受电话、邮寄、电子、口头等其他方式报价。挂牌截止由挂牌主持人主持确定。

(二)挂牌报价时间:2021年11月25日08时30分至2021年12月09日10时00分,受理报价时间为北京时间工作日08:30至11:30及14:30至17:00。

(三)挂牌报价地点:海南省公共资源交易服务中心三楼307室。

(四)挂牌现场会地点:海南省公共资源交易服务中心二楼土地矿产资源交易厅(203室)。

六、获取挂牌文件的途径和申请报名的起止时间及方式
获取挂牌文件的途径:有意竞买者可从海南省建设用地使用权和矿业权网上交易系统(以下简称网上交易系统)查看和打印挂牌出让手册及其他相关文件,了解本次挂牌出让的详细信息和具体要求。

申请报名的起止时间:2021年10月25日—2021年11月22日

申请报名方式:
(一)竞买申请方式。本次交易活动竞买申请环节采取线上方式进行,有意向的竞买人可登录网上交易系统提交竞买申请,并按要求上传竞买申请文件。本次出让不接受电话、邮寄、书面、口头等其他形式的申请。竞买申请时间:2021年10月25日08时30分至2021年11月22日16时30分。(以网上交易系统服务器时间为准,下同)

(二)竞买保证金。竞买人在网上交易系统提交竞买申请时,应选定一家银行交纳竞买保证金,选定银行后系统自动生成唯一的随机竞买保证金账号,保证金交纳银行一经选定不能更改,竞买人应谨慎选择。竞买人须按照出让手册的有关规定将竞买保证金足额交入该账号(竞买保证金到账时间以银行信息系统入账时间为准)。本次竞买保证金的币种为人民币,不接受外币。竞买保证金到账截止时间为:2021年11月22日16时30分。

(三)竞买资格确认。竞买资格审核开始后,海南省矿业权交易中心和出让人在2个工作日内完成竞买申请文件审核。竞买人提交竞买申请时应充分考虑网上交易活动的竞买资格审核时效,并进行审慎注意。竞买人的竞买申请文件审核通过,且竞买保证金已按要求交纳的,网上交易系统自动发放《竞买资格确认书》,确认其获得竞买资格。获得竞买资格的竞买人方能参与本次网上交易活动。竞买资格审核时间:2021年11月23日08时30分至2021年11月24日17时00分。

七、确定中标人/竞得人的标准和方法
本次挂牌出让设有底价,按照出价最高且不低于底价者得的原则确定竞得人。

八、风险提示
(一)采矿权存有不可预计的自然因素变化、法律法规、政策变化、储量估算不足等风险,竞买人在参加竞买前应认真了解相关情况,仔细阅读相关资料,充分了解矿山开采涉及的安全生产、环境保护、水土保持、土地使用、林地占用等相关法律法规的特殊要求,并到矿区现场实地踏勘,充分评估投资风险,在竞得后须自行承担风险所带来的损失。

(二)因法律法规和国家、省、县的产业、环保等政策调整不能继续采矿的,或因不可抗力因素造成经济损失的,采矿权竞得人应自行承担风险,出让人不承担责任。

(三)由于该矿区岩石放射性指标偏高,按照《建设用卵石、碎石》(GB/T14685-2011)标准中建筑材料放射性核素限量规定,本矿区的矿石适用于B类装饰装修材料。

(四)由于该矿区储量规模为大型,设计年产量为225万m3,将向周边市县供应石料机制砂,为了更好的提供运输条件,保护普通道路基础设施,防止道路交通堵塞,采矿权竞得人须在交通便利路段附近(如高速公路、国道等)建立大型加工区,并在矿区与加工区之间建设有利于保护环境的传输廊道或专用运输道路。

(五)为保障砂源供应,采矿权竞得人须建设机制砂生产线,生产机制砂比例不低于开采资源总量的20%。

(六)挂牌出让成交后,涉及林业、环境保护、安全生产、水土保持等有关事项,由采矿权竞得人按相关法律法规执行并缴纳相关费用;涉及道路使用、供水、供电等事宜,由采矿权竞得人与相关权益人自行协调解决。

(七)竞得人应根据有关法律法规的规定,尽快提交采矿登记申请报告、采矿权申请登记书、矿区范围图、工商营业执照、矿产资源开发利用与保护方案、矿山环境影响评价报告、成交确定书、采矿权出让合同、采矿权出让收益缴清凭证等法律法规规定的相关材料到出让人办理采矿权登
湖南省砂协
微信二维码
关注微信公众号
关于我们 | 新闻中心 | 会员中心 | 联系我们
Copyright © 2015-2025 湖南省砂石协会 版权所有 邮编:410008 联系电话:0731-84351277 84351377 传真:0731-84351277 协会地址:长沙市开福区双拥路九号长城万富汇金座二十二楼
技术支持:长沙奇想网络 备案号:湘ICP备2021007142号-1